PCM.daily banner
29-01-2026 18:02
PCM.daily
Users Online
· Guests Online: 50

· Members Online: 1
GreatR

· Total Members: 54,917
· Newest Member: RodrigueGauthier
View Thread
PCM.daily » Off-Topic » Other sports
 Print Thread
The Runners thread
Crommy
So, my running career is now over.


Feck
emoticons4u.com/happy/042.gif
 
fcancellara
What happened?
i1293.photobucket.com/albums/b593/caspervdl2/PCM/PCM13/Headers/graphicartistoftheyear12_zpse6637662.png

i1293.photobucket.com/albums/b593/caspervdl2/PCM/PCM13/Headers/musicbanner_zps3d73b387.png
 
www.twitter.com/caspervdluijt
Crommy
fcancellara wrote:
What happened?


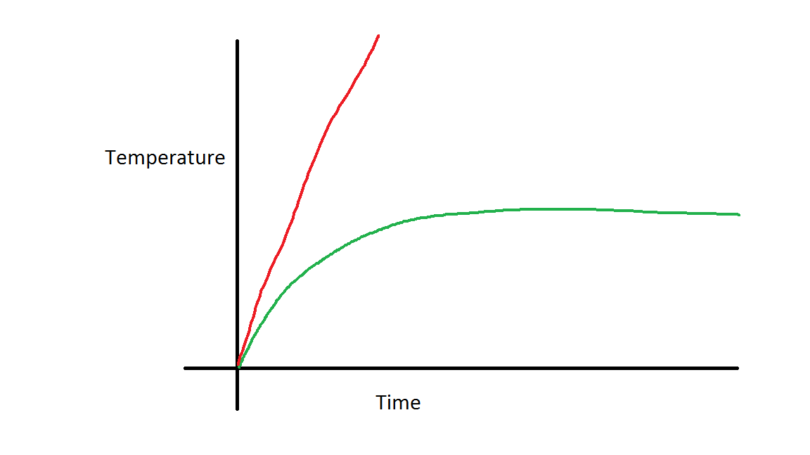
I've been diagnosed with some kind of heat illness (need further tests to find out which).

Basically, when you run, your body temperature initially goes up, then plateaus at a safe level as your body's cooling mechanism kicks in.

When I run, my core body temperature goes upwards as well. But my body doesn't really realise how hot it is, and any cooling done is pretty much completely ineffective. So unless I stopped, it'd keep going upwards. Until I collapsed and probably died.

The phenomenally drawn graph attached explains it slightly better. If you consider the 0 point on the y-axis to be your normal core body temperature, the green line shows what happens for a normal person when they exercise. I'm the red one.
Crommy attached the following image:
hot.png

emoticons4u.com/happy/042.gif
 
Pinktay3
Wow, that kinda sucks Crommy...

I'm a triathlete and it takes me about 15-17 minutes to run 4km's and just under 20 minutes generally to run 5km's. That's including transition from the bike. Are they good times?
 
Aquarius
Crommy wrote:
fcancellara wrote:
What happened?


I've been diagnosed with some kind of heat illness (need further tests to find out which).

Basically, when you run, your body temperature initially goes up, then plateaus at a safe level as your body's cooling mechanism kicks in.

When I run, my core body temperature goes upwards as well. But my body doesn't really realise how hot it is, and any cooling done is pretty much completely ineffective. So unless I stopped, it'd keep going upwards. Until I collapsed and probably died.

The phenomenally drawn graph attached explains it slightly better. If you consider the 0 point on the y-axis to be your normal core body temperature, the green line shows what happens for a normal person when they exercise. I'm the red one.

But that's not always been case during your career as a runner, has it ?
So, can't there be a cure once you'll be properly diagnosed ?

@Pinktay3 : depends what you call good. You're not going to win any race with such times, unless the competition is really very poor, but in most races you'd leave something like 80 % of participants behind you. I don't know if that counts as good.
Oh, and of course it depends if you do those times at the end of a triathlon or if you're just doing this as a road or track running race. In the first case that's good, yes.
Edited by Aquarius on 01-11-2012 12:37
 
miggi133
Pinktay3 wrote:
Wow, that kinda sucks Crommy...

I'm a triathlete and it takes me about 15-17 minutes to run 4km's and just under 20 minutes generally to run 5km's. That's including transition from the bike. Are they good times?


I really have no idea about triathlon times, but taking in consideration that you will already completed a swim plus a stint on the bike, it seems like they are fairly good times. I myself am a sprinter and take a 5k in a good 14 minutes and my friends who do long running say that you should basically aim for 4 minutes per mile. Without biking and swmming beforehand, that is. (5k ~ 3 miles).
Hope this gives you an overview as to what times pure runners are aiming for and where you rank with your times in triathlon...
 
fcancellara
Wow Crommy, that really sucks...

Hope it can be cured in some way Frown

@Pinktay3 I run 5km in 20 minutes without any other activities beforehand, I suck at everything above 1500m :lol:

In theorem, I should be able to run under 18 minutes, but I'm never in shape during the winter season, which is when I run 5km's Pfft
i1293.photobucket.com/albums/b593/caspervdl2/PCM/PCM13/Headers/graphicartistoftheyear12_zpse6637662.png

i1293.photobucket.com/albums/b593/caspervdl2/PCM/PCM13/Headers/musicbanner_zps3d73b387.png
 
www.twitter.com/caspervdluijt
miggi133
fcancellara wrote:
Wow Crommy, that really sucks...

Hope it can be cured in some way Frown

@Pinktay3 I run 5km in 20 minutes without any other activities beforehand, I suck at everything above 1500m :lol:

In theorem, I should be able to run under 18 minutes, but I'm never in shape during the winter season, which is when I run 5km's Pfft


Seriously? 20 mins for 5k? I mean granted, you are a middle distance runner, but anything more than 15 minutes cold start is a bit worrying. I ran a casual 5k coming back from injury, that prevented me from training at all (well more an infection) and hadnt run for 2 full weeks and it took me less than 15 minutes. And dont you forget , anything over 200 is usually not on my training schedule...
 
Aquarius
I guess you have your figures wrong miggi, or we'll soon see you and all your friends on T.V. world wide. Pfft

When I do long distances without I.T. or stuff like that I'm around 5'/5'15" per km (which is something like 26 minutes for 5k). During races it usually takes me something like 20 minutes to pass 5k (but I do distances between 10 and 21 km). The best do that in 15/16 minutes, it depends who's there. And with those sucky times I still leave about 75 or 80 % of the field behind me.
 
Ad Bot
Posted on 29-01-2026 18:02
Bot Agent

Posts: Countless
Joined: 23.11.09

IP: None  
fcancellara
miggi133 wrote:
fcancellara wrote:
Wow Crommy, that really sucks...

Hope it can be cured in some way Frown

@Pinktay3 I run 5km in 20 minutes without any other activities beforehand, I suck at everything above 1500m :lol:

In theorem, I should be able to run under 18 minutes, but I'm never in shape during the winter season, which is when I run 5km's Pfft


Seriously? 20 mins for 5k? I mean granted, you are a middle distance runner, but anything more than 15 minutes cold start is a bit worrying. I ran a casual 5k coming back from injury, that prevented me from training at all (well more an infection) and hadnt run for 2 full weeks and it took me less than 15 minutes. And dont you forget , anything over 200 is usually not on my training schedule...


Keep in mind I'm only 14, and they are road races, it is in the morning, usually rainy and cold, plus I never crossed the line exhausted. I always have like this 300m sprint at the end because I have so much power left, but earlier in the race I just don't seem to be able to keep a high pace Frown

EDIT: In shorter distances like 600m (1.41) and 800m (2.25), I can keep up this pace, that's why there is such a giant difference in times Wink
Edited by fcancellara on 01-11-2012 12:34
i1293.photobucket.com/albums/b593/caspervdl2/PCM/PCM13/Headers/graphicartistoftheyear12_zpse6637662.png

i1293.photobucket.com/albums/b593/caspervdl2/PCM/PCM13/Headers/musicbanner_zps3d73b387.png
 
www.twitter.com/caspervdluijt
miggi133
Okay, granted... Forgot the Age difference, my bad. But why on earth would you do 5k races and not go through an extensive fitness training instead?
And I dont know how it is with Middle distance runners, but sprinters use the time off after the competitions (Fall up to Indoors) to hit the gym, so the only thing thats left to do is technique training during the competitions phase...

Doing races that late in the year, whn you should be focussing on the year ahead, and then OVERDistance races can not be good. Maybe once in a while but thats it... Especially if you make a transition from track to road it doesnt help at all i think...
 
fcancellara
miggi133 wrote:
Okay, granted... Forgot the Age difference, my bad. But why on earth would you do 5k races and not go through an extensive fitness training instead?
And I dont know how it is with Middle distance runners, but sprinters use the time off after the competitions (Fall up to Indoors) to hit the gym, so the only thing thats left to do is technique training during the competitions phase...

Doing races that late in the year, whn you should be focussing on the year ahead, and then OVERDistance races can not be good. Maybe once in a while but thats it... Especially if you make a transition from track to road it doesnt help at all i think...


I don't run them on 100% Wink

And I find it useful for improving my stamina, and when you are used to 5km (I don't run longer distances than that), 800m on the track is mentally easier as well.
i1293.photobucket.com/albums/b593/caspervdl2/PCM/PCM13/Headers/graphicartistoftheyear12_zpse6637662.png

i1293.photobucket.com/albums/b593/caspervdl2/PCM/PCM13/Headers/musicbanner_zps3d73b387.png
 
www.twitter.com/caspervdluijt
Crommy
Aquarius wrote:
But that's not always been case during your career as a runner, has it ?
So, can't there be a cure once you'll be properly diagnosed ?


It only really started 5 years ago, and despite that nothing major has happened to me whilst running, the doctor who I did the heat illness assessment with has said that nothing having happened is more to do with luck.
Unfortunately though, the most likely problem I have is Malignant Hyperthermia, a genetic disorder which currently has no cure.
emoticons4u.com/happy/042.gif
 
Pinktay3
@Everyone who asked: Yes, I run those times at the end of a triathlon, so after anywhere from a 400 meter to 1500 meter swim, and between a 20 and 40 km cycling leg. So in that case I think those times are quite good. I mean, they got me to state level at school... (And the State Triathlon was only my 5th ever race and the longest I've had done at that stage)
 
miggi133
GOD! I love these Autumn/Winter Sessions SOOOOO Much!

The deep Burns and shear pain from lactic acids... Man I was so looking forward to this...

Anyways, I got a new Coach this year and he is convinced that I have the potential to do triple Jump (as in more like Jonathan Edwards method. So high speed and keeping the first two jumps low to the ground to loose minimal speed) if increase my fexibillity... Anyone have a take on how to increase it? Im at the end with my Latin...
Spoiler

By the way, Im gonna meet Jo Edwards next week. His Brother is a lecturer of mine!


Oh and before I forget, Im planning on running a 1 mile leg in a Varsity Competition (Road Relays) in a week. Anyone have an idea for a race strategy, baring in mind that this would be 8x as long as my usual race distance (I am a sprinter) or should I just do it like i would approach a 3 mile trainings run, just a little bit quicker and orientate myself on other competitors?
Edited by miggi133 on 08-11-2012 22:33
 
Pinktay3
Miggi: I'm doing my certificate in Personal training at the moment, and the only way to improve your flexibility is to stretch before a session (but after your warm up) and after your session for 10-15 minutes. I find that the stretching before hand is purely to loosen up your muscles and if you stretch for too long you'll cool back down, so I tell people to use dynamic stretches (leg swings, arm circles etc) before, and static stretches afterwards.

Additionally, some gyms have specific equipment to help improve your flexibility, but if you don't have a membership or anything, doing stretches by yourself are just as good
 
miggi133
Pinktay3 wrote:
Miggi: I'm doing my certificate in Personal training at the moment, and the only way to improve your flexibility is to stretch before a session (but after your warm up) and after your session for 10-15 minutes. I find that the stretching before hand is purely to loosen up your muscles and if you stretch for too long you'll cool back down, so I tell people to use dynamic stretches (leg swings, arm circles etc) before, and static stretches afterwards.

Additionally, some gyms have specific equipment to help improve your flexibility, but if you don't have a membership or anything, doing stretches by yourself are just as good


Yeah, my gym doesnt Wink

As for the stretching: the stretches after the warmup are the ones im doing (compared with a Liza Minelli work out... We look like a weird group...)
And the coach seems to be determined to get me to do jumps as he is pulling me aside after every sess for extra stretches... Wink

One question though:
Would Hurdle drills help at all?
 
Pinktay3
What are hurdle drills?
 
miggi133
These bad boys...



And yes, the music sounds like from a bad 80's porn film!
Edited by miggi133 on 08-11-2012 22:43
 
fcancellara
The only thing hurdle drills ever did to me was giving me bruises Frown
i1293.photobucket.com/albums/b593/caspervdl2/PCM/PCM13/Headers/graphicartistoftheyear12_zpse6637662.png

i1293.photobucket.com/albums/b593/caspervdl2/PCM/PCM13/Headers/musicbanner_zps3d73b387.png
 
www.twitter.com/caspervdluijt
Jump to Forum:
Login
Username

Password



Not a member yet?
Click here to register.

Forgotten your password?
Request a new one here.
Latest content
Screenshots
Intermediate Sprint
Intermediate Sprint
PCM10: Official Screenshots
Fantasy Betting
Current bets:
No bets available.
Best gamblers:
bullet fighti... 24,676 PCM$
bullet Marcovdw 21,745 PCM$
bullet df_Trek 19,674 PCM$
bullet jseadog1 18,352 PCM$
bullet baseba... 14,239 PCM$

bullet Main Fantasy Betting page
bullet Rankings: Top 100
ManGame Betting
Current bets:
No bets available.
Best gamblers:
bullet Ollfardh 24,090 PCM$
bullet Marcovdw 21,200 PCM$
bullet jseadog1 18,300 PCM$
bullet df_Trek 17,820 PCM$
bullet Caspi 11,530 PCM$

bullet Main MG Betting page
bullet Get weekly MG PCM$
bullet Rankings: Top 100
Render time: 0.22 seconds